5e4
Tout ce qu'il faut pour la 5è4
Lundi 29 Juin (page 1)
Bonjour,
Je vous ai déposé en page 2 la correction de l'ex 4 p 22. Je vous mets en page 1 le cours sur les propriétés des états physiques de l'eau que vous pouvez imprimer ou recopier dans votre classeur pour vendredi 3 Juillet.
Je vous demande également un dernier effort en faisant les ex 5 et 7 p 22 pour le 3 Juillet.
Bonne dernière semaine.
Madame de Laborie.
Posted by idelaborie
Lundi 29 Juin (page 2)
Voici la correction de l'ex 4 p22.
Posted by idelaborie
Lundi 22 Juin (page 1)
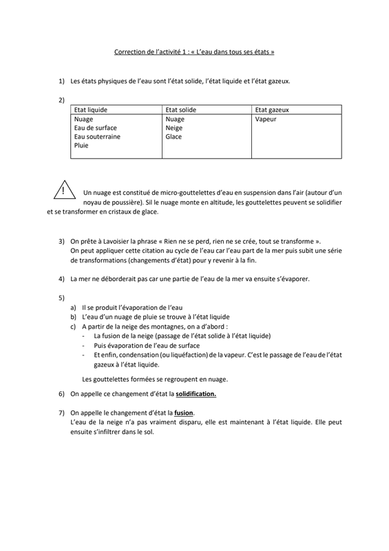
Bonjour
Je vous dépose les corrections du QCM (page 2) et de l'activité 1 "L'eau dans tous ses états". Je vous demande de les noter sur votre classeur.
Comme application, je vous demande faire dans votre classeur partie exercices de chimie l'exercice 4 p 22 de votre manuel pour le vendredi 26/06.
Posted by idelaborie
Lundi 22 Juin (page 2)
Voici la correction du QCM que vous m'avez renvoyé.
Posted by idelaborie
Vendredi 12 Juin
Bonjour,
L'activité 1 sur les changements d'état de l'eau est à faire pour le vendredi 19 Juin sans me la renvoyer.
Je vous ai aussi préparé un petit QCM sur la sécurité que je vous envoie par mail sur l'ENT car le netboard n'accepte que les pdf et c'est un fichier Word à compléter directement. Le QCM sera à me renvoyer sur mon casier ENT et non sur mon mail pour le mardi 16 Juin.

Bonne semaine.

Madame de Laborie.
Posted by idelaborie
Posted by idelaborie
Alternateur2
Posted by idelaborie
Vendredi 5 Juin (page 1)
Bonjour
Je vous demande de recopier le plan du cours sur une feuille de classeur et d'y ajouter les paragraphes II et III que vous trouverez sur les deux pages suivantes. Vous devrez ensuite apprendre cette leçon pour le vendredi 12 Juin.
Bonne semaine.
Posted by idelaborie
Vendredi 5 Juin (page 2)
Méthode à coller ou à recopier dans le paragraphe II) du chapitre I.
Posted by idelaborie
Vendredi 5 Juin (page 3)
Voici les schémas des différents récipients en verre que vous devez recopier en respectant le nombre de carreaux sur votre feuille de cours.
Posted by idelaborie